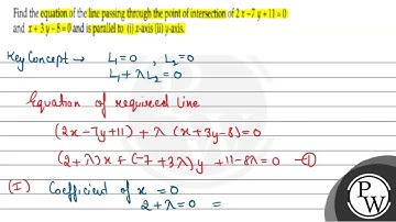
A line passes through the point of intersection of 2 x+y=5 and x+3 y+8=0 and parallel to the line...

Tonton & Download Video Musik Gratis

⬇ DOWNLOAD NOW
Kalau muncul iklan pop-up, tutup lalu klik tombol kembali

Download lagu A line passes through the point of intersection of 2 x+y=5 and x+3 y+8=0 and parallel to the line... secara gratis hanya untuk keperluan promosi. Dukung artis favorit kamu dengan membeli musik original di iTunes atau platform resmi lainnya.