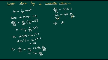
NEET 2019 Finding Work done by Variable Force @IIT-JEEandNEET-VenkatsAcademy Class 11 Physics Work Power and Energy

Tonton & Download Video Musik Gratis

⬇ DOWNLOAD NOW
Kalau muncul iklan pop-up, tutup lalu klik tombol kembali

Download lagu NEET 2019 Finding Work done by Variable Force @IIT-JEEandNEET-VenkatsAcademy Class 11 Physics Work Power and Energy secara gratis hanya untuk keperluan promosi. Dukung artis favorit kamu dengan membeli musik original di iTunes atau platform resmi lainnya.