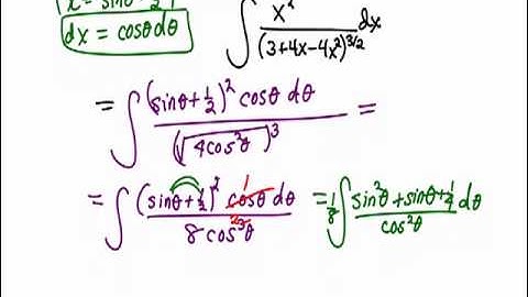
Integral of x/sqrt(4x^2 - 4x - 3) by Trigonometric Substitution - Need to Complete the Square!

Tonton & Download Video Musik Gratis

⬇ DOWNLOAD NOW
Kalau muncul iklan pop-up, tutup lalu klik tombol kembali

Download lagu Integral of x/sqrt(4x^2 - 4x - 3) by Trigonometric Substitution - Need to Complete the Square! secara gratis hanya untuk keperluan promosi. Dukung artis favorit kamu dengan membeli musik original di iTunes atau platform resmi lainnya.