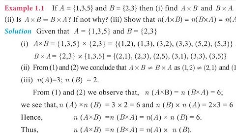
10th Maths Tamil Medium Chapter 1 Relations and Functions Example 1.1

Tonton & Download Video Musik Gratis

⬇ DOWNLOAD NOW
Kalau muncul iklan pop-up, tutup lalu klik tombol kembali

Download lagu 10th Maths Tamil Medium Chapter 1 Relations and Functions Example 1.1 secara gratis hanya untuk keperluan promosi. Dukung artis favorit kamu dengan membeli musik original di iTunes atau platform resmi lainnya.