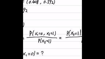
ECE-GY 6303 Probability and Stochastic Processes HW2Q5

Tonton & Download Video Musik Gratis

⬇ DOWNLOAD NOW
Kalau muncul iklan pop-up, tutup lalu klik tombol kembali

Download lagu ECE-GY 6303 Probability and Stochastic Processes HW2Q5 secara gratis hanya untuk keperluan promosi. Dukung artis favorit kamu dengan membeli musik original di iTunes atau platform resmi lainnya.