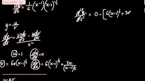
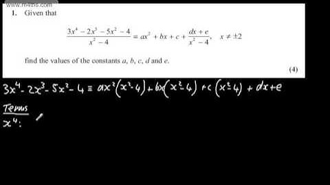
q4 Core 3 C3 Edexcel June 2013 Past Paper A2 maths standard paper

Tonton & Download Video Musik Gratis

⬇ DOWNLOAD NOW
Kalau muncul iklan pop-up, tutup lalu klik tombol kembali

Download lagu q4 Core 3 C3 Edexcel June 2013 Past Paper A2 maths standard paper secara gratis hanya untuk keperluan promosi. Dukung artis favorit kamu dengan membeli musik original di iTunes atau platform resmi lainnya.