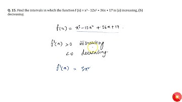
Q) Find the interval in which the function 𝑥^3−12𝑥^2+36𝑥+17 is strictly increasing #maths #cbse

Tonton & Download Video Musik Gratis

⬇ DOWNLOAD NOW
Kalau muncul iklan pop-up, tutup lalu klik tombol kembali

Download lagu Q) Find the interval in which the function 𝑥^3−12𝑥^2+36𝑥+17 is strictly increasing #maths #cbse secara gratis hanya untuk keperluan promosi. Dukung artis favorit kamu dengan membeli musik original di iTunes atau platform resmi lainnya.