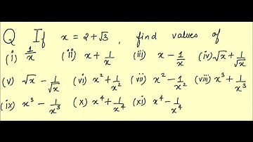
If x=2+root3, then find the value of x^2+1/x^2 #class9 #important #important #RavleenKaur

Tonton & Download Video Musik Gratis

⬇ DOWNLOAD NOW
Kalau muncul iklan pop-up, tutup lalu klik tombol kembali

Download lagu If x=2+root3, then find the value of x^2+1/x^2 #class9 #important #important #RavleenKaur secara gratis hanya untuk keperluan promosi. Dukung artis favorit kamu dengan membeli musik original di iTunes atau platform resmi lainnya.