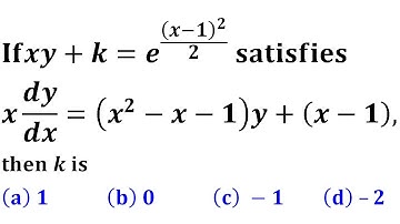
IIT JAM 2007 Mathematics solutions | section A Question 2| Differential Equation | Linear D.E.

Tonton & Download Video Musik Gratis

⬇ DOWNLOAD NOW
Kalau muncul iklan pop-up, tutup lalu klik tombol kembali

Download lagu IIT JAM 2007 Mathematics solutions | section A Question 2| Differential Equation | Linear D.E. secara gratis hanya untuk keperluan promosi. Dukung artis favorit kamu dengan membeli musik original di iTunes atau platform resmi lainnya.