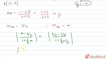
In a triangle A B C, if A(2,-1) and 7 x-10 y+1=0 and 3 x-2 y+5=0 are equations of an altitude and...

Tonton & Download Video Musik Gratis

⬇ DOWNLOAD NOW
Kalau muncul iklan pop-up, tutup lalu klik tombol kembali

Download lagu In a triangle A B C, if A(2,-1) and 7 x-10 y+1=0 and 3 x-2 y+5=0 are equations of an altitude and... secara gratis hanya untuk keperluan promosi. Dukung artis favorit kamu dengan membeli musik original di iTunes atau platform resmi lainnya.