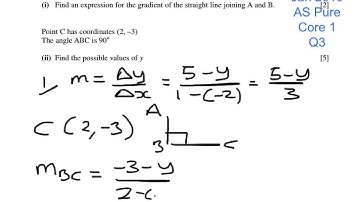
Edexcel AS/A-Level Core Maths C1 Jan 2010 - Question 3 (On Coordinate Geometry)

Tonton & Download Video Musik Gratis

⬇ DOWNLOAD NOW
Kalau muncul iklan pop-up, tutup lalu klik tombol kembali

Download lagu Edexcel AS/A-Level Core Maths C1 Jan 2010 - Question 3 (On Coordinate Geometry) secara gratis hanya untuk keperluan promosi. Dukung artis favorit kamu dengan membeli musik original di iTunes atau platform resmi lainnya.