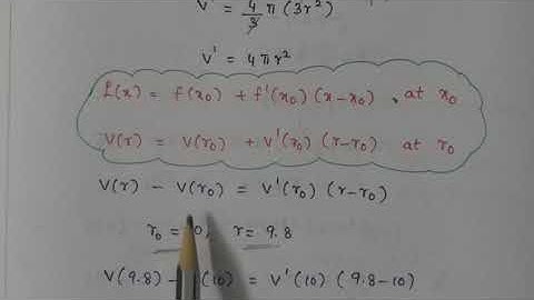
XII-MATHEMATICS,NEW SYLLABUS,(Vol-2)CHAPTER 8,DIFFERENTIALS AND PARTIAL DERIVATIVES,EX:8.1(7 th sum)

Tonton & Download Video Musik Gratis

⬇ DOWNLOAD NOW
Kalau muncul iklan pop-up, tutup lalu klik tombol kembali

Download lagu XII-MATHEMATICS,NEW SYLLABUS,(Vol-2)CHAPTER 8,DIFFERENTIALS AND PARTIAL DERIVATIVES,EX:8.1(7 th sum) secara gratis hanya untuk keperluan promosi. Dukung artis favorit kamu dengan membeli musik original di iTunes atau platform resmi lainnya.