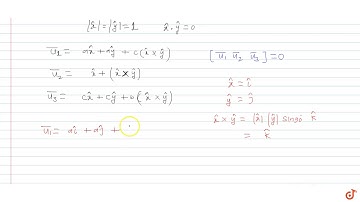
If `vec v` and `vec w` are two mutually perpendicular unit vectors and `vec u = av + bw`, where...

Tonton & Download Video Musik Gratis

⬇ DOWNLOAD NOW
Kalau muncul iklan pop-up, tutup lalu klik tombol kembali

Download lagu If `vec v` and `vec w` are two mutually perpendicular unit vectors and `vec u = av + bw`, where... secara gratis hanya untuk keperluan promosi. Dukung artis favorit kamu dengan membeli musik original di iTunes atau platform resmi lainnya.