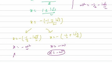
#JEE2020 #JEEMains JEE Mains Maths| if α, β ϵ C are the distinct roots, of the equation x2-x-1=0

Tonton & Download Video Musik Gratis

⬇ DOWNLOAD NOW
Kalau muncul iklan pop-up, tutup lalu klik tombol kembali

Download lagu #JEE2020 #JEEMains JEE Mains Maths| if α, β ϵ C are the distinct roots, of the equation x2-x-1=0 secara gratis hanya untuk keperluan promosi. Dukung artis favorit kamu dengan membeli musik original di iTunes atau platform resmi lainnya.