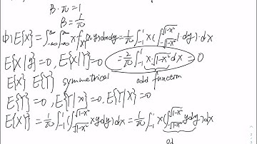
ECE 6303 Probability and Stochastic ProcessesNYU HW6 Q2

Tonton & Download Video Musik Gratis

⬇ DOWNLOAD NOW
Kalau muncul iklan pop-up, tutup lalu klik tombol kembali

Download lagu ECE 6303 Probability and Stochastic ProcessesNYU HW6 Q2 secara gratis hanya untuk keperluan promosi. Dukung artis favorit kamu dengan membeli musik original di iTunes atau platform resmi lainnya.