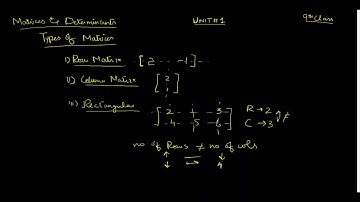
Rectangular and Square Matrix | Types of Matrices | Class 9th Math | Backbenchers Academy

Tonton & Download Video Musik Gratis

⬇ DOWNLOAD NOW
Kalau muncul iklan pop-up, tutup lalu klik tombol kembali

Download lagu Rectangular and Square Matrix | Types of Matrices | Class 9th Math | Backbenchers Academy secara gratis hanya untuk keperluan promosi. Dukung artis favorit kamu dengan membeli musik original di iTunes atau platform resmi lainnya.