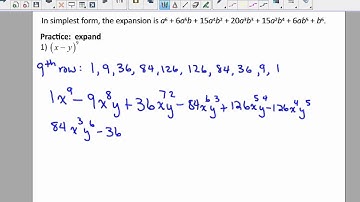
Algebra 2 5-7 The Binomial Theorem: Problem 2 - Expanding a Binomial

Tonton & Download Video Musik Gratis

⬇ DOWNLOAD NOW
Kalau muncul iklan pop-up, tutup lalu klik tombol kembali

Download lagu Algebra 2 5-7 The Binomial Theorem: Problem 2 - Expanding a Binomial secara gratis hanya untuk keperluan promosi. Dukung artis favorit kamu dengan membeli musik original di iTunes atau platform resmi lainnya.