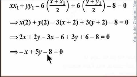
12th maths/Exercise 5.1 Q no 9/Chapter-5 Two Dimensional Analytical Geometry-II

Tonton & Download Video Musik Gratis

⬇ DOWNLOAD NOW
Kalau muncul iklan pop-up, tutup lalu klik tombol kembali

Download lagu 12th maths/Exercise 5.1 Q no 9/Chapter-5 Two Dimensional Analytical Geometry-II secara gratis hanya untuk keperluan promosi. Dukung artis favorit kamu dengan membeli musik original di iTunes atau platform resmi lainnya.