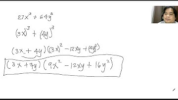
How to Factor Sum or Difference of Two Cubes I Grade 8 Math I Taglish Tutorial

Tonton & Download Video Musik Gratis

⬇ DOWNLOAD NOW
Kalau muncul iklan pop-up, tutup lalu klik tombol kembali

Download lagu How to Factor Sum or Difference of Two Cubes I Grade 8 Math I Taglish Tutorial secara gratis hanya untuk keperluan promosi. Dukung artis favorit kamu dengan membeli musik original di iTunes atau platform resmi lainnya.