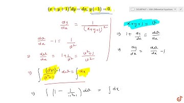
"Solve each of the following initial value problem: `(x y-y^2)dx-x^2dy=0,\ y(1)=1`"

Tonton & Download Video Musik Gratis

⬇ DOWNLOAD NOW
Kalau muncul iklan pop-up, tutup lalu klik tombol kembali

Download lagu "Solve each of the following initial value problem: `(x y-y^2)dx-x^2dy=0,\ y(1)=1`" secara gratis hanya untuk keperluan promosi. Dukung artis favorit kamu dengan membeli musik original di iTunes atau platform resmi lainnya.