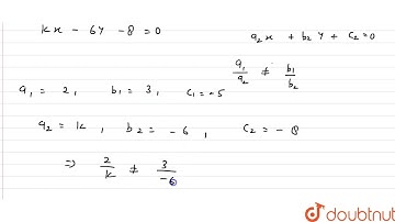
Determine the value of k for which the given system has a unique solution | 2x+3y-5=0, kx-6y-8=0

Tonton & Download Video Musik Gratis

тмЗ DOWNLOAD NOW
Kalau muncul iklan pop-up, tutup lalu klik tombol kembali

Download lagu Determine the value of k for which the given system has a unique solution | 2x+3y-5=0, kx-6y-8=0 secara gratis hanya untuk keperluan promosi. Dukung artis favorit kamu dengan membeli musik original di iTunes atau platform resmi lainnya.