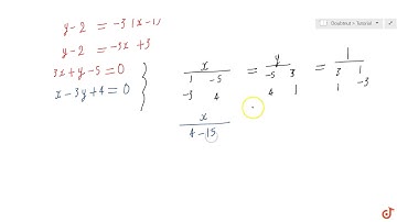
Assuming that straight lines work as the plane mirror for a point, find the image of the point (...

Tonton & Download Video Musik Gratis

⬇ DOWNLOAD NOW
Kalau muncul iklan pop-up, tutup lalu klik tombol kembali

Download lagu Assuming that straight lines work as the plane mirror for a point, find the image of the point (... secara gratis hanya untuk keperluan promosi. Dukung artis favorit kamu dengan membeli musik original di iTunes atau platform resmi lainnya.