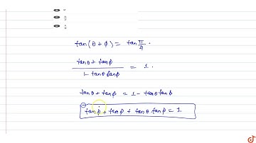
If (1+ tan theta) (1+ tan phi)=2, then the value of (theta+ phi) is | 12 | MCQ's | MATHS | CHHA...

Tonton & Download Video Musik Gratis

⬇ DOWNLOAD NOW
Kalau muncul iklan pop-up, tutup lalu klik tombol kembali

Download lagu If (1+ tan theta) (1+ tan phi)=2, then the value of (theta+ phi) is | 12 | MCQ's | MATHS | CHHA... secara gratis hanya untuk keperluan promosi. Dukung artis favorit kamu dengan membeli musik original di iTunes atau platform resmi lainnya.