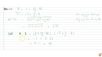
For what value of a are the vectors `vec(A) = a hati - 2hatj +hatk` and `vec(B) = 2a hati +a

Tonton & Download Video Musik Gratis

⬇ DOWNLOAD NOW
Kalau muncul iklan pop-up, tutup lalu klik tombol kembali

Download lagu For what value of a are the vectors `vec(A) = a hati - 2hatj +hatk` and `vec(B) = 2a hati +a secara gratis hanya untuk keperluan promosi. Dukung artis favorit kamu dengan membeli musik original di iTunes atau platform resmi lainnya.