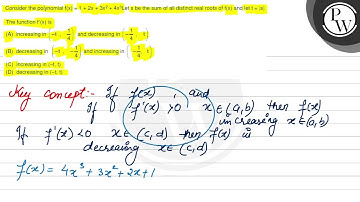
Consider the polynomial f(x)=1+2 x+3 x^2+4 x^3. Let s be the sum of all distinct real roots of f(...

Tonton & Download Video Musik Gratis

⬇ DOWNLOAD NOW
Kalau muncul iklan pop-up, tutup lalu klik tombol kembali

Download lagu Consider the polynomial f(x)=1+2 x+3 x^2+4 x^3. Let s be the sum of all distinct real roots of f(... secara gratis hanya untuk keperluan promosi. Dukung artis favorit kamu dengan membeli musik original di iTunes atau platform resmi lainnya.