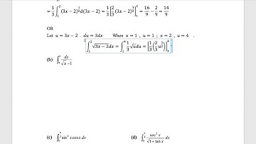
Integration by substitution 代換積分法 (PP)題型 Definite Integration定積分 三角學 HKDSE Mathematics M2 數學延伸單元二

Tonton & Download Video Musik Gratis

⬇ DOWNLOAD NOW
Kalau muncul iklan pop-up, tutup lalu klik tombol kembali

Download lagu Integration by substitution 代換積分法 (PP)題型 Definite Integration定積分 三角學 HKDSE Mathematics M2 數學延伸單元二 secara gratis hanya untuk keperluan promosi. Dukung artis favorit kamu dengan membeli musik original di iTunes atau platform resmi lainnya.