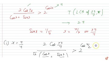
The complete set of values of x, x in (-(pi)/(2), pi)satisfying the inequality cos 2x gt |sin x...

Tonton & Download Video Musik Gratis

⬇ DOWNLOAD NOW
Kalau muncul iklan pop-up, tutup lalu klik tombol kembali

Download lagu The complete set of values of x, x in (-(pi)/(2), pi)satisfying the inequality cos 2x gt |sin x... secara gratis hanya untuk keperluan promosi. Dukung artis favorit kamu dengan membeli musik original di iTunes atau platform resmi lainnya.