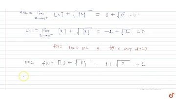
\( f(x)=[x]+\sqrt{x-[x]} \), where \( [x] \) denotes the greatest integer function. (A) \( f(x) ...

Tonton & Download Video Musik Gratis

⬇ DOWNLOAD NOW
Kalau muncul iklan pop-up, tutup lalu klik tombol kembali

Download lagu \( f(x)=[x]+\sqrt{x-[x]} \), where \( [x] \) denotes the greatest integer function. (A) \( f(x) ... secara gratis hanya untuk keperluan promosi. Dukung artis favorit kamu dengan membeli musik original di iTunes atau platform resmi lainnya.