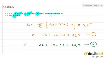
If in an A.P., S_{n} = n^2 p and S_{m} = m^2 p, where S, denotes the sum of r terms of the A.P., the

Tonton & Download Video Musik Gratis

⬇ DOWNLOAD NOW
Kalau muncul iklan pop-up, tutup lalu klik tombol kembali

Download lagu If in an A.P., S_{n} = n^2 p and S_{m} = m^2 p, where S, denotes the sum of r terms of the A.P., the secara gratis hanya untuk keperluan promosi. Dukung artis favorit kamu dengan membeli musik original di iTunes atau platform resmi lainnya.