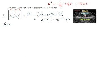
Find the multiplicative inverse of each matrix, if it exists [[ 1 2 -… ]

Tonton & Download Video Musik Gratis

⬇ DOWNLOAD NOW
Kalau muncul iklan pop-up, tutup lalu klik tombol kembali

Download lagu Find the multiplicative inverse of each matrix, if it exists [[ 1 2 -… ] secara gratis hanya untuk keperluan promosi. Dukung artis favorit kamu dengan membeli musik original di iTunes atau platform resmi lainnya.