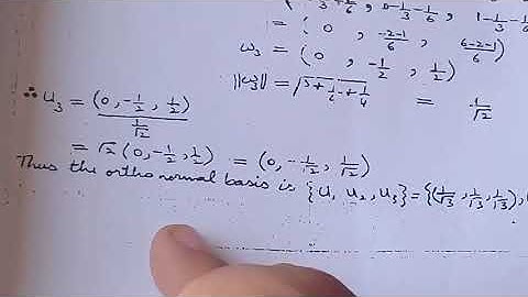
How to solve Exercise 7.1 (Q# 11 & 12) Bsc Calculus by S.M Yusuf

Tonton & Download Video Musik Gratis

⬇ DOWNLOAD NOW
Kalau muncul iklan pop-up, tutup lalu klik tombol kembali

Download lagu How to solve Exercise 7.1 (Q# 11 & 12) Bsc Calculus by S.M Yusuf secara gratis hanya untuk keperluan promosi. Dukung artis favorit kamu dengan membeli musik original di iTunes atau platform resmi lainnya.