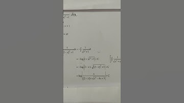
12th Std BM Example 2.2 Evaluate integration √ 2x+1 dx

Tonton & Download Video Musik Gratis

⬇ DOWNLOAD NOW
Kalau muncul iklan pop-up, tutup lalu klik tombol kembali

Download lagu 12th Std BM Example 2.2 Evaluate integration √ 2x+1 dx secara gratis hanya untuk keperluan promosi. Dukung artis favorit kamu dengan membeli musik original di iTunes atau platform resmi lainnya.