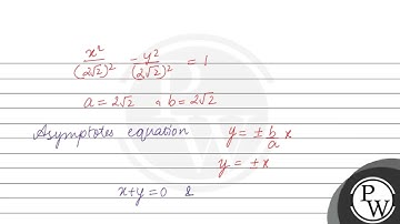
For hyperbola, length of transverse axis is 8 with perpendicular asymptotes y = +-2x, find a^2+ b^2

Tonton & Download Video Musik Gratis

⬇ DOWNLOAD NOW
Kalau muncul iklan pop-up, tutup lalu klik tombol kembali

Download lagu For hyperbola, length of transverse axis is 8 with perpendicular asymptotes y = +-2x, find a^2+ b^2 secara gratis hanya untuk keperluan promosi. Dukung artis favorit kamu dengan membeli musik original di iTunes atau platform resmi lainnya.