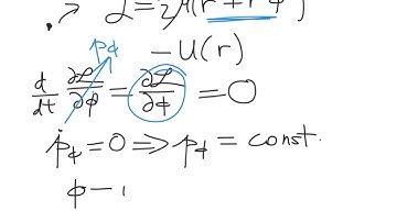
#11 Classical Mechanics: Cyclic or Ignorable coordinate and its effect on conjugate momentum

Tonton & Download Video Musik Gratis

⬇ DOWNLOAD NOW
Kalau muncul iklan pop-up, tutup lalu klik tombol kembali

Download lagu #11 Classical Mechanics: Cyclic or Ignorable coordinate and its effect on conjugate momentum secara gratis hanya untuk keperluan promosi. Dukung artis favorit kamu dengan membeli musik original di iTunes atau platform resmi lainnya.