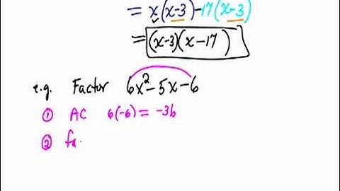
6-3 Factoring Trinomials using Factor by grouping Part 1 Video

Tonton & Download Video Musik Gratis

⬇ DOWNLOAD NOW
Kalau muncul iklan pop-up, tutup lalu klik tombol kembali

Download lagu 6-3 Factoring Trinomials using Factor by grouping Part 1 Video secara gratis hanya untuk keperluan promosi. Dukung artis favorit kamu dengan membeli musik original di iTunes atau platform resmi lainnya.