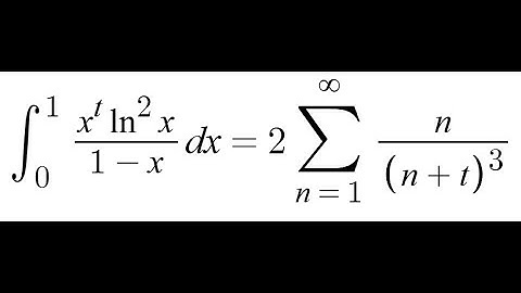
Feynman Integration Example 139 - ∫ from 0 to ∞ of ((x² * e^x) / (e^x - 1)²) dx

Tonton & Download Video Musik Gratis

⬇ DOWNLOAD NOW
Kalau muncul iklan pop-up, tutup lalu klik tombol kembali

Download lagu Feynman Integration Example 139 - ∫ from 0 to ∞ of ((x² * e^x) / (e^x - 1)²) dx secara gratis hanya untuk keperluan promosi. Dukung artis favorit kamu dengan membeli musik original di iTunes atau platform resmi lainnya.