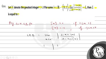
Let [t] denote the greatest integer le t. If for some lambda in R - {0, 1}, lim_(lambda rarr 0) |(1-

Tonton & Download Video Musik Gratis

⬇ DOWNLOAD NOW
Kalau muncul iklan pop-up, tutup lalu klik tombol kembali

Download lagu Let [t] denote the greatest integer le t. If for some lambda in R - {0, 1}, lim_(lambda rarr 0) |(1- secara gratis hanya untuk keperluan promosi. Dukung artis favorit kamu dengan membeli musik original di iTunes atau platform resmi lainnya.