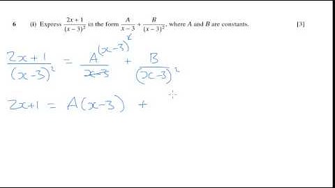
A Level Pure Maths - Partial Fractions OCR Core 4 Jan 2007 q6ii

Tonton & Download Video Musik Gratis

⬇ DOWNLOAD NOW
Kalau muncul iklan pop-up, tutup lalu klik tombol kembali

Download lagu A Level Pure Maths - Partial Fractions OCR Core 4 Jan 2007 q6ii secara gratis hanya untuk keperluan promosi. Dukung artis favorit kamu dengan membeli musik original di iTunes atau platform resmi lainnya.