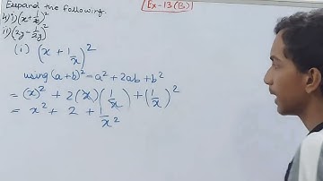
Q2 Ex 13B | Algebraic Identities | ICSE Math Class 8 | S. Chand Solutions | OP Malhotra |

Tonton & Download Video Musik Gratis

⬇ DOWNLOAD NOW
Kalau muncul iklan pop-up, tutup lalu klik tombol kembali

Download lagu Q2 Ex 13B | Algebraic Identities | ICSE Math Class 8 | S. Chand Solutions | OP Malhotra | secara gratis hanya untuk keperluan promosi. Dukung artis favorit kamu dengan membeli musik original di iTunes atau platform resmi lainnya.