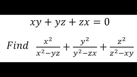
31. If x + y + z = 0, then what is the value of 𝑥^2/𝑦𝑧+𝑦^2/𝑥𝑧+𝑧^2/𝑥𝑦 ?

Tonton & Download Video Musik Gratis

⬇ DOWNLOAD NOW
Kalau muncul iklan pop-up, tutup lalu klik tombol kembali

Download lagu 31. If x + y + z = 0, then what is the value of 𝑥^2/𝑦𝑧+𝑦^2/𝑥𝑧+𝑧^2/𝑥𝑦 ? secara gratis hanya untuk keperluan promosi. Dukung artis favorit kamu dengan membeli musik original di iTunes atau platform resmi lainnya.