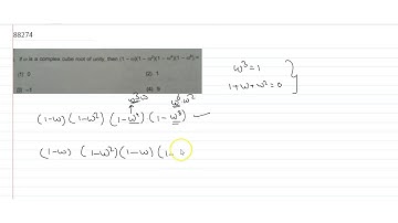
If ωis a complex cube root of unity, then 1+5 ω+9 ω^2/ω^2+5+9 …

Tonton & Download Video Musik Gratis

⬇ DOWNLOAD NOW
Kalau muncul iklan pop-up, tutup lalu klik tombol kembali

Download lagu If ωis a complex cube root of unity, then 1+5 ω+9 ω^2/ω^2+5+9 … secara gratis hanya untuk keperluan promosi. Dukung artis favorit kamu dengan membeli musik original di iTunes atau platform resmi lainnya.