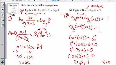
Math 30-1 Solving Log Equations Apps of logs lesson 4 Video 1 of 2

Tonton & Download Video Musik Gratis

⬇ DOWNLOAD NOW
Kalau muncul iklan pop-up, tutup lalu klik tombol kembali

Download lagu Math 30-1 Solving Log Equations Apps of logs lesson 4 Video 1 of 2 secara gratis hanya untuk keperluan promosi. Dukung artis favorit kamu dengan membeli musik original di iTunes atau platform resmi lainnya.