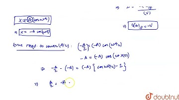
, , A block of mass 0.9  kg attached to a spring of force constant k is lying on a frictionless f...

Tonton & Download Video Musik Gratis

⬇ DOWNLOAD NOW
Kalau muncul iklan pop-up, tutup lalu klik tombol kembali

Download lagu , , A block of mass 0.9  kg attached to a spring of force constant k is lying on a frictionless f... secara gratis hanya untuk keperluan promosi. Dukung artis favorit kamu dengan membeli musik original di iTunes atau platform resmi lainnya.