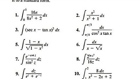
Exercise 8.1 Question 1 || Thomas Calculus 14th edition || Chapter 8

Tonton & Download Video Musik Gratis

⬇ DOWNLOAD NOW
Kalau muncul iklan pop-up, tutup lalu klik tombol kembali

Download lagu Exercise 8.1 Question 1 || Thomas Calculus 14th edition || Chapter 8 secara gratis hanya untuk keperluan promosi. Dukung artis favorit kamu dengan membeli musik original di iTunes atau platform resmi lainnya.