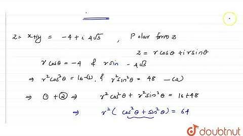
Convert the following into polar form : (i) `-1+isqrt(3)` (ii) `1-i` (iii) `1-(1)/(i)` (i

Tonton & Download Video Musik Gratis

⬇ DOWNLOAD NOW
Kalau muncul iklan pop-up, tutup lalu klik tombol kembali

Download lagu Convert the following into polar form : (i) `-1+isqrt(3)` (ii) `1-i` (iii) `1-(1)/(i)` (i secara gratis hanya untuk keperluan promosi. Dukung artis favorit kamu dengan membeli musik original di iTunes atau platform resmi lainnya.