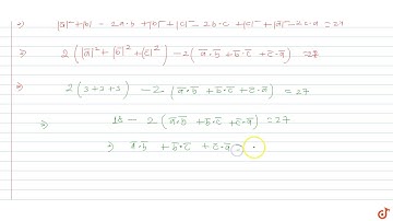
Let \( \vec{a}, \vec{b} \) and \( \vec{c} \) be the three vectors h...

Tonton & Download Video Musik Gratis

⬇ DOWNLOAD NOW
Kalau muncul iklan pop-up, tutup lalu klik tombol kembali

Download lagu Let \( \vec{a}, \vec{b} \) and \( \vec{c} \) be the three vectors h... secara gratis hanya untuk keperluan promosi. Dukung artis favorit kamu dengan membeli musik original di iTunes atau platform resmi lainnya.