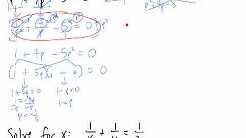
MAT096 - Video 77 - Solving Proportions and Word Problems Containing Rational Expressions: Part 2

Tonton & Download Video Musik Gratis

⬇ DOWNLOAD NOW
Kalau muncul iklan pop-up, tutup lalu klik tombol kembali

Download lagu MAT096 - Video 77 - Solving Proportions and Word Problems Containing Rational Expressions: Part 2 secara gratis hanya untuk keperluan promosi. Dukung artis favorit kamu dengan membeli musik original di iTunes atau platform resmi lainnya.