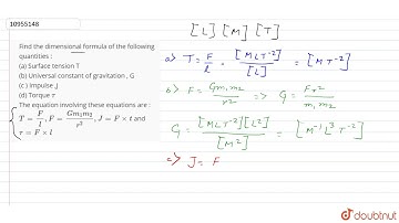
Find the dimensional formulae of following quantities: (a) The surface tension S, (b) The

Tonton & Download Video Musik Gratis

⬇ DOWNLOAD NOW
Kalau muncul iklan pop-up, tutup lalu klik tombol kembali

Download lagu Find the dimensional formulae of following quantities: (a) The surface tension S, (b) The secara gratis hanya untuk keperluan promosi. Dukung artis favorit kamu dengan membeli musik original di iTunes atau platform resmi lainnya.