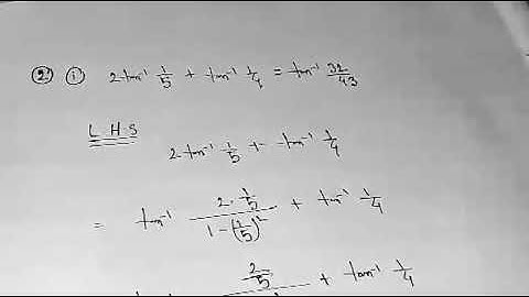
HSC Higher Math second Paper Exercise 7A

Tonton & Download Video Musik Gratis

âŦ‡ DOWNLOAD NOW
Kalau muncul iklan pop-up, tutup lalu klik tombol kembali

Download lagu HSC Higher Math second Paper Exercise 7A secara gratis hanya untuk keperluan promosi. Dukung artis favorit kamu dengan membeli musik original di iTunes atau platform resmi lainnya.