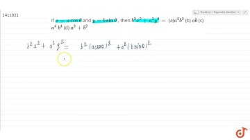
If x=acostheta and y=bsintheta , then b^2x^2+a^2y^2= (a)a^2b^2 (b) a b (c) a^4\ b^4 (d) a^2+b^2 ...

Tonton & Download Video Musik Gratis

⬇ DOWNLOAD NOW
Kalau muncul iklan pop-up, tutup lalu klik tombol kembali

Download lagu If x=acostheta and y=bsintheta , then b^2x^2+a^2y^2= (a)a^2b^2 (b) a b (c) a^4\ b^4 (d) a^2+b^2 ... secara gratis hanya untuk keperluan promosi. Dukung artis favorit kamu dengan membeli musik original di iTunes atau platform resmi lainnya.